联系我们
发送邮箱
主页 › 新闻资讯行业动态 › 热电堆传感器主要参数详解

热电堆传感器主要参数详解

2020-04-22 10:19:02

热电堆传感器它是由热电偶构成的一种器件。由两个或多个热电偶串接组成,各热电偶输出的热电势是互相叠加的。热电堆的结构是由辐射接收面分为若干块,每块接一个热电偶把它们串联起来就构成热电堆。适合用于测量小的温差或平均温度。热电堆传感器它在耳式体温计、放射温度计、电烤炉、食品温度检测等领域中,作为温度检测器件获得了广泛的应用领域。下面由英尚微电子介绍热电堆传感器的主要参数有哪些
 
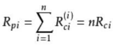
热电堆的内阻所有串联热电偶的内阻之和,即:
 

 
热电堆的内阻Rpi较大,可达几十千欧姆,易于与放大器的阻抗匹配,可利用普通的运算放大器。
 
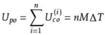
热电堆的温差电动势
在相同的温差时,热电堆的开路输出电压Upo是所有串联热电偶的温差电动势之和:
 

 
在相同的电信号检测条件下,热电堆传感器能检测到的最小温差是单个热电偶的1/n,热电堆对温度的分辨能力增强。
 
 
热电堆的噪声等效功率
噪声等效功率NEP主要取决于热电堆的热噪声。


本文关键词:热电堆传感器


相关文章: 非接触温度计中热电堆红外传感器的应用


深圳市英尚微电子有限公司是一家专业的静态随机记忆体产品及方案提供商,十年来专业致力代理分销存储芯片IC, SRAM、MRAM、pSRAM、 FLASH芯片、SDRAM(DDR1/DDR2/DDR3)等,为客人提供性价比更高的产品及方案。
英尚微电子中国区指定的授权代理:VTI、NETSOL、JSC济州半导体(EMLSI)、Everspin 、IPSILOG、LYONTEK、ISSI、CYPRESS、ISOCOME、PARAGON、SINOCHIP、UNIIC; 著名半导体品牌的专业分销商  如:RAMTROM、ETRON、FUJITSU、LYONTEK、WILLSEMI。
 

​更多资讯关注SRAMSUN.   m.xpcontent.com         0755-66658299
 
 
展开
Baidu
map